RTI data suggests Punjab is a disturbed state, says activist
RTI activist Harmilap Singh Grewal stated that he has submitted a representation to the chief secretary and the Punjab chief minister, asking them to question district magistrates about the prolonged imposition of restrictions.

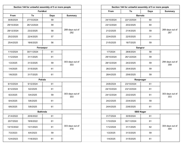
Punjab has witnessed the prolonged use of Section 144 of the Code of Criminal Procedure (CrPC), now listed as Section 163 of the Bharatiya Nagarik Suraksha Sanhita (BNSS), to restrict the assembly of five or more people, according to data obtained under the Right to Information (RTI) Act.
RTI activist Harmilap Singh Grewal said the figures indicate that the restrictions remained in force in several districts for most of the year, suggesting that the state has been functioning in a disturbed condition where gatherings could not be allowed.
Commenting on the data, Grewal said, “The blanket imposition and selective implementation of BNSS 163, commonly known as Section 144 (of CrPC), is a total misuse of power by the administration as it is against every kind of freedom granted to the citizen by the Constitution. It shows that nothing has changed in the country since the British left. There has been no sensitisation about the fundamental rights in the civil and police administration.”
He further said, “It may look like a casual practice, but it reflects the system where citizens have no rights. It is a tool to suppress people at the will of the political class. This is used to please their political masters and crush the voice of any peaceful dissent against the government. If the law and order situation is so bad in all the districts, then why not pass a new law in the assembly and enforce it?”

On the implementation of restrictions, Grewal said, “There is a clear guideline for the implementation of BNSS 163… that when it is implemented, the message should reach every citizen of the area through various means of communication, which is not done by the administration, and people are caught unaware.”
Grewal stated that he has submitted a representation to the chief secretary and the chief minister, asking them to question district magistrates about the prolonged imposition of restrictions. “If I do not get any satisfactory answer, then I will take the help of the judiciary, as this is not acceptable at all in a democracy,” he said.
